본문 바로가기
  • 유해게시물신고
모터의 청각적 소음 감소 방법
산업일보|kidd@kidd.co.kr
페이스북 트위터 카카오스토리 네이버블로그 프린트 PDF 다운로드

모터의 청각적 소음 감소 방법

기사입력 2006-02-09 09:54:50
페이스북 트위터 카카오스토리 네이버블로그 프린트 PDF 다운로드
모터의 청각적 소음 감소 방법
그림1
[산업일보]
사람의 귀는 이론적으로 16Hz에서 20kHz까지의 주파수 대역의 인지가 가능하지만 대부분의 성인들이 느낄 수 있는 대역은 10 -14kHz정도로 범위가 줄어든다. <그림 1>은 사람의 귀가 느낄 수 있는 주파수 대역을 보여주고 있다. 여기서 볼 수 있듯이 사람의 귀는 주파수 대역이 2kHz에서 6kHz부분에서 더욱 민감함을 알 수 있다.
대부분의 PWM 또는 VVC제어 방식의 인버터에서는 주파수를 가변 시키기 위해서 2-6kHz의 스위칭 주파수를 사용하고 있으며, 이 스위칭 주파수가 종종 모터를 통해 청각적인 소음을 발생시키고 있다. 이 소음은 <그림 1>에서 볼 수 있듯이 사람의 귀가 가장 민감하게 들을 수 있는 범위 안에 들어가고, 때로는 아주 미세한 소음까지도 사용자가 감지하게 된다. 높은 주파수(High Frequency) 대역에서도 대부분의 사람들은 매우 불편함을 느낄 수 있으며, 이는 높은 주파수 소음은 감추기가 쉽지 않고 모터로부터 멀리 떨어진 곳에서도 들을 수 있기 때문이다.

청각적인 소음의 원인

PWM방식의 인버터로 모터를 동작시킬 때 발생하는 청각적인 소음은 낮은 대역의 주파수 왜곡에 의해 발생된다. 이 소음은 모터 고정자와 냉각 팬에서 발생하며 인버터 스위칭 주파수 대역에서 공명 (Resonances) 현상의 원인이 된다. 이 기계적인 공명이 모터의 소음을 증폭시킨다. 만약 인버터가 낮은 스위칭 주파수로 운전될 때에는 이 소음이 사람의 귀에 직접 청각적인 소음으로 작용하는 것이다.
이때 소음을 제거할 수 있는 가장 좋은 방법은 인버터 출력 전압에서 이 저주파 대역의 전기적인 소음을 제거하는 것이지만 이 방법은 인버터 출력단에 별도의 장치를 추가하지 않고서는 쉽지가 않다. 저주파수 소음은 스위칭 주파수의 1~2배 되는 곳에 좁은 대역을 형성하게 된다.
둘째로는 민감한 대역의 바깥 부분에서 운전되도록 스위칭 주파수를 올리거나 내려주는 방법을 들 수 있다. 이때 스위칭 주파수를 무작정 낮추는 것은 전류와 전압파형을 완전히 왜곡시키게 되고 전압 파형을 가장 근사치의 사인파 형태로 만드는 것이 불가능하므로 좋은 해결책이 되지 못한다. 이럴 경우에는 모터의 성능이 상당히 감소하게 된다.

소음을 감소 시킬 수 있는 방법

아래처럼 각기 다른 4가지의 소음 저감 방법이 가능하다.
(1) 고정된 높은 스위칭 주파수
(2) 스위칭 주파수 자동 조정(Automatic Switching Frequency Modulation)
(3) 임의의(Random) 스위칭 주파수
(4) 출력단에 LC필터 장착

고정된 높은 스위칭 주파수

모터에서 발생하는 소음을 줄이기 위한 기존의 방법으로써 인버터의 스위칭 주파수를 높게(12-20kHz)설정하는 것이다. 이 방법은 아래에 명시한 것과 같은 여러 가지 불합리한 점이 있다.

(1) RFI(Radio Frequency Interference) 노이즈의 증가
(2) 누설전류의 증가로 인해 대용량의 RFI 노이즈 필터를 사용해야 함
(3) 인버터의 추가적인 열손실을 발생시킴으로써 전력 손실 증가
(4) 모터 절연 파괴의 위험성 증가

모터의 청각적 소음 감소 방법
그림2


RFI 노이즈의 증가는 인버터의 누설 전류를 증가시킴으로써 사용자가 더 크고 비싼 RFI 노이즈 필터를 사용해야 함으로 결국은 인버터의 가격 상승을 의미한다. 또한 누설전류의 증가는 화재 위험 및 사용자의 보호를 위해 인버터 설치시에 좀 더 세심한 주의를 필요로 한다. RCD(Residual Current Devices)의 설치 등 관련 법규에 맞추어 인버터를 설치하기가 어려워 진다.
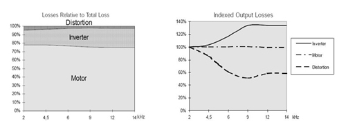
전력 손실의 증가는 인버터에 추가적인 열을 발생시킴으로써 인버터의 수명을 단축시키고, 경우에 따라서 더 큰 용량의 인버터를 설치해야 할 필요가 있다. 다시 말하면 낮은 스위칭 주파수에서 운전되는 인버터는 동일한 모터를 운전시에 전력 소비가 적고 또한 더 큰 모터를 운전할 수 있다는 것이다. 연구 자료에 따르면 모터에서 발생하는 손실은 스위칭 주파수의 영향을 받지 않는 것으로 나타나 있으며, 4kHz 정도의 스위칭 주파수에서 인버터의 손실은 가장 적고, 전압 왜곡에 의한 손실은 낮은 주파수 대역에서 최대이므로 전체적인 효율은 2-4kHz 대역의 스위칭 주파수에서 가장 높게 나타난다.<그림 2 참조>
이런 이유로 인해 에너지 소비를 감소시키고 다양한 공명 주파수들을 방지하기 위해서 스위칭 주파수를 4.5kHz로 사용하는 것이 표준화 되어있다.

스위칭 주파수 자동 조정
(ASFM-Automatic Switching Frequency Modulation)


ASFM은 VLT6000HVAC 인버터에 적용된 가장 진보된 기술 중의 하나이다. ASFM을 사용하게 되면 스위칭 주파수는 모터의 부하가 총 부하의 60%이하일 경우에는 이미 설정한 최대 스위칭 주파수로 운전된다.
펌프와 팬 어플리케이션은 가변토오크 특성을 가진다. 이런 토오크 특성에서는 정격 속도의 80%에서 정격 부하의 60%가 인가되므로, 대부분의 경우에 더 큰 용량의 인버터를 사용하지 않고서도 높은 스위칭 주파수를 유지할 수 있다.
적은 부하일 때에만 스위칭 주파수를 높게 유지한다는 것은 고정된 높은 스위칭 주파수를 사용하는 것과 비교해서 시스템의 효율에 미치는 영향은 매우 한정되어 있다. 추가적으로 모터 케이블에서 평균 저주파수 왜곡에 의한 전력 손실이 낮은 범위에서 유지되므로 전체적인 손실은 감소되고 전기 소비량은 줄어들게 된다. 더 나아가서 RFI 노이즈 영향도 고정된 높은 스위칭 주파수를 이용하는 것에 비해 많은 영향을 끼치지는 않는다.
다만 장애로 남는 것은 부하 변동에 좌우되지 않는 누설 전류의 증가이다. 하지만 이 전류는 인버터의 직류 회로에서만 발생하고 스위칭 주파수에 따라 좌우된다. 즉 가장 큰 누설 전류는 60% 부하 아래에서만 발생하게 되므로 고정된 높은 스위칭 주파수를 사용하는 것 보다는 우위에 있다.
하지만 이 방식의 기술도 최대 부하의 50%에서 100% 범위에서는 청각적인 소음이 발생할 수 있음을 알 수 있다. 어쨌건 대부분의 펌프와 팬 어플리케이션은 정격의 50% 이상의 속도로 운전되며, 이때 발생하는 일반적인 청각적 소음은 설치에 따른 기계적인 진동에 의해 발생됨을 알 수 있다. 그러므로 스위칭 주파수에 의해 발생된 소음은 시스템에 의해 발생된 청각적 소음에 의해 들리지 않게 된다. 아래의 수식은 팬 시스템에서의 소음 증가를 나타낸다.
55 Log (Speed 1/ Speed 2) = 55 Log (1500 / 750) = 55 x 0.33 = 16.5dBA
위에서 보는 바와 같이 부하 변동에 따라 스위칭 주파수를 조절 하는 것은 HVAC 어플리케이션에 인버터를 적용할 경우 고정된 높은 스위칭 주파수를 사용하는 것에 비해 월등한 소음 감소 효과를 얻을 수 있다.

임의의 스위칭 주파수 사용

임의의 스위칭 주파수 방식은 이미 ‘백색 소음(White noise)’이라고 알려져 있으며, 이 방식 역시 인버터의 용량을 모터 용량보다 키워서(Derating) 사용 할 필요는 없다. 이 방식은 이미 설정된 기본 스위칭 주파수(Base Switching frequency) 근처 대역에서 스위칭 주파수의 연속적인 대체가 이루어진다. 단, 이 기술의 가장 큰 단점은 마치 모터의 베어링의 손상 시에 발생하는 것과 같은 소음이 발생한다는 것이다. 이 소음은 스위칭 주파수를 고정하여 사용할 때와는 다른 소음이 발생하며, 이 소음 역시 대부분의 사용자가 느낄 수 있다.

LC필터의 장착

인버터의 출력단에 LC필터를 장착할 수 있다. 이 필터는 인버터의 출력 전압을 거의 사인파형에 가깝게 만들어 준다. 이 방법은 저주파수 대역의 왜곡을 완벽히 제거할 수 있고, 모터에 유도된 소음 역시 완벽히 제거된다. LC필터를 장착할 경우 모터의 일반적인 운전 성능이 증가되며, 대부분의 어플리케이션에서 인버터를 이용한 운전이 직입 운전 방식과 비교해서 별 차이 없음을 느낄 수 있다.
경우에 따라 1차측 입력 전압에 순간적인 전압 강하 현상이 발생할 수 있으며, 이 현상은 모터의 토오크 특성에 영향을 미치고 심할 경우 모터의 손상을 가져올 수 있다. 인버터에 LC 필터를 장착함으로써 이런 증상에 의한 모터 소손을 완벽히 제거할 수 있다. 댄포스의 VLT6000 HVAC 인버터는 이런 순간적인 전압 강하에 충분히 대응할 수 있도록 설계되어 있으며, 인버터가 이런 요소들의 영향을 받지 않는다. 하지만 LC 필터를 장착할 경우에도 몇몇 단점이 있을 수 있다.

1) 전체 시스템으로부터의 소음은 제거되지 않는다.
2) 인버터와 모터 사이에 약간의 전압 강하가 있다.
3) LC 필터를 장착하기 위한 비용이 추가된다.

자동 에너지 최적화(Automatic Energy Optimisation)

전압/주파수 비(V/F 또는 U/F)가 최적의 상태보다 높을 경우에, 모터 고정자의 과다한 자화 발생으로 인해 모터에서 소음이 발생하게 된다. 이때 전압/주파수 비를 최적화 해 줌으로써 모터에서 발생하는 청각적인 소음을 감소시킬 수 있다.
댄포스 인버터 VLT6000 HVAC에는 자동 에너지 최적화 기능이 기본 내장되어 있어, 모터에 발생한 부하의 변동에 따라 자동으로 전압/주파수 비를 조절하게 된다. 이 기능의 가장 큰 목적은 불필요한 전력소비를 줄이고자 하는 것이지만 부대적인 효과로 모터에 발생하는 소음을 약 3dBA까지 감소시킬 수 있는 장점이 있다.

모터 설계에 의한 영향

모터에서 발생하는 소음은 모터의 설계 및 제작 공차에 따라 달라질 수 있음을 각종 검증을 통해 알 수 있다. 즉 모터 냉각 팬의 날개 크기 및 립(Rib)의 수량 등에 의해 발생되는 소음이 차이가 있을 수 있으며, 고정자와 회전자 사이의 에어갭(Air gap)이 작을수록 모터의 소음을 줄이는데 도움이 된다.

비용 및 장·단점, 결론

모터의 청각적 소음 감소 방법
그림3
<그림 3>은 위에서 비교해 본 각종 방식을 비교하고 있다. LC필터를 사용하거나 높은 스위칭 주파수를 사용하는 방식이 소음을 줄일 수 있는 방법으로는 가장 좋을 결과를 나타내고 있다. 하지만 LC필터를 장착할 경우에는 인버터 시스템의 가격 상승 요인이 된다.
높은 스위칭 주파수를 사용할 경우에는 인버터 가격의 상승 뿐만 아니라 시스템의 손실 증가, dU/dt 수준의 증가를 비롯해서 RFI(Radio Frequency Interferences) 노이즈의 증가와 같은 각종 악영향을 피할 수 없다. 백색소음 방식은 모터에서 베어링 손상시에 발생하는 것과 같은 소음만 아니라면 좋은 해결책이 될 수 있다.
ASFM방식은 동일한 비용을 투자하여 인버터를 사용할 경우 시스템의 손실을 가장 낮게 하면서도 스위칭 주파수를 낮게 고정하여 사용하는 방식들에 비해 가장 좋은 해결책이 될 수 있다.
문의 : (02)3484-4662 박병호 / 댄포스㈜ georgep@danfoss.com

<저작권자 ⓒ 자동제어계측(www.autocontrol.co.kr) 무단전재 및 재배포 금지 >



0 / 1000
주제와 무관한 악의적인 댓글은 삭제될 수 있습니다.
0 / 1000




제품등록 무료 제품 거래 비용 없음!



산업전시회 일정




다아라 기계장터 제품등록 무료