본문 바로가기
  • 유해게시물신고
자성 메모리(MRAM) 사용으로 전력 사용량 감소 성공
김인환 기자|kih2711@kidd.co.kr
페이스북 트위터 카카오스토리 네이버블로그 프린트 PDF 다운로드

자성 메모리(MRAM) 사용으로 전력 사용량 감소 성공

한국연구재단, ‘저전력화 단초 제공할 수 있을 것’ 기대

기사입력 2017-04-29 18:20:27
페이스북 트위터 카카오스토리 네이버블로그 프린트 PDF 다운로드
자성 메모리(MRAM) 사용으로 전력 사용량 감소 성공
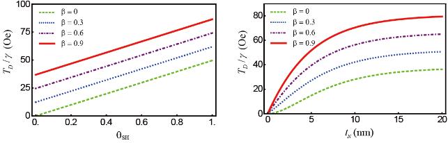
스핀분극층을 포함하는 스핀궤도토크(TD)의 주요 계산결과


[산업일보]
한국연구재단(이사장 조무제)이 고려대 김영근 교수 연구팀이 사물인터넷 기기 저장매체로 부각하고 있는 자성 메모리(MRAM)의 기록에 필요한 전류를 감소시키는 기술을 개발했다고 밝혔다.

자성 메모리(MRAM)는 자성 박막으로 만드는 비휘발성 기억 소자이다. 기존 임베디드 메모리소자(SRAM)와 달리 외부 전원의 공급이 없는 상태에서 정보를 유지할 수 있으며, 메모리가 차지하는 면적을 줄일 수 있다.

자성 메모리의 구동원리는 크게 스핀궤도토크와 스핀전달토크 기반으로 나눌 수 있다. 스핀궤도토크 기반의 메모리(SOT-MRAM)는 동작속도가 스핀전달토크 기반 메모리(STT-MRAM) 기술보다 10배 이상 빨라 고속기록이 가능하다. 그러나 기록전류가 높고 외부자기장이 필요하다는 단점이 있다.

연구팀은 스핀분극현상을 이용해 스핀궤도토크 기반의 메모리 소자가 가진 고속기록의 장점을 유지하면서도 단점으로 지적되던 기록전류를 3배 이상 낮추는데 성공했다.

스핀궤도토크 메모리는 금속층과 강자성층의 이중층 구조를 사용하고 정보기록을 위해 금속층의 스핀궤도결합을 이용한다. 이 구조에 더해 자성층 하나를 추가해 스핀분극현상을 발생시킨 것이다.

또한 이 기술을 사용하면 정보 기록 시 외부자기장이 불필요해 외부자기장을 걸어주기 위한 추가적인 구조가 필요 없어 소자의 집적도를 높이는 데 유리하다.

스핀궤도토크 메모리의 비휘발성으로 전력소모를 낮출 수 있어서 모바일, 사물인터넷(IoT) 기기의 저장매체로 활용가능성이 높다.

김영근 교수는 “이 연구성과는 자성 메모리의 기록 성능을 높이기 위한 소재 아이디어를 이론적으로 검증한 것이다. 특허를 출원했으며, 향후 가장 중요한 이슈인 저전력화 문제 해결의 단초를 제공할 수 있을 것으로 기대된다”라고 밝혔다.

이 연구성과는 미래창조과학부․한국연구재단 미래소재디스커버리사업의 지원을 받아 수행되었다. 국제학술지인 사이언티픽 리포트(Scientific Reports)에 게재됐다.

김 교수는 “기존에 다뤄지지 않았던 구조에서 이론계산을 수행하기가 쉽지 않았다. 기존의 스핀궤도토크 문제에서는 1차원 표류-확산 방정식을 풀면 되는데 반해, 스핀분극을 고려한 이번 문제에서는 해석적 풀이가 매우 어려운 2차원 표류-확산 방정식을 풀어야하기 때문에 접근이 쉽지 않았다. 이를 공동저자들 간의 지속적인 토론을 통해 해결하여 성공적인 연구결과를 얻을 수 있었다”고 언급했다.

덧붙여 그는 “이번 성과는 기존 스핀궤도토크를 이용한 메모리 소자 구조에 추가로 스핀분극층을 삽입함으로써 소자 구동에서 약점으로 지적됐던 전력소모절감과 외부자기장 문제를 동시에 해결할 수 있는 방안을 제시했다”고 소개했다.

현장의 생생함을 그대로 전달하겠습니다.


0 / 1000
주제와 무관한 악의적인 댓글은 삭제될 수 있습니다.
0 / 1000




제품등록 무료 제품 거래 비용 없음!



산업전시회 일정




다아라 기계장터 제품등록 무료