본문 바로가기
  • 유해게시물신고
산업용 제어기기 차세대 고속·고신뢰화 기술의 전개
산업일보|kidd@kidd.co.kr
페이스북 트위터 카카오스토리 네이버블로그 프린트 PDF 다운로드

산업용 제어기기 차세대 고속·고신뢰화 기술의 전개

기사입력 2006-03-30 11:55:55
페이스북 트위터 카카오스토리 네이버블로그 프린트 PDF 다운로드
[산업일보]
PLC(Programmable Logic Controller)와 DCS(Distributed Control System)를 대표하는 산업용 컴포넌트는 표준화와 오픈화 등의 기술개발이 활발히 진행되고 있다.
도시바는 통합 컨트롤러 V-Series를 기반으로 Full CAD Editor, 인터로크 진단기능, Remote engineering기능, ST(Structured Text)언어 등의 신기능을 개발하였다. 또한 현재의 기술동향과 사회추세에 따라 관리적인 측면에서 사용자의 요구에 대하여, 앞으로 필요한 하드/소프트웨어 기술의 제시와 향후의 산업용 제어기기의 제품 전개방향을 제시한다.

머리말
산업용제어 컴포넌트로 사용되는 PLC, DCS 등의 제어기기는 소프트웨어의 표준화와 프로토콜의 오픈화 동향이 매우 활발하다. 이러한 업계의 동향, 컨트롤러에 사용되는 하드웨어의 최신 기술동향, 도시바가 개발한 컨트롤러 신제품과 표준이중화 기능 및 향후 개발방안에 대하여 제시한다.

산업용 컨트롤러의 기술동향
(1)기술 분야별 동향
컨트롤러 프로그램의 표준화에 대하여 최근 IEC61131-3 (국제전기표준협회규격 61131-3)에 의하여 표준화가 진행되고 있다. IEC61131-3은 프로그램의 외부표현에 대한 표준화만 지정되어 있으며, XML(eXtensible Markup Language) 스키머에 의한 컨트롤러 프로그램의 소프트웨어 내부표현의 표준화에 있어서는 PLCopen(주1) 등에서 검토되고 있다.
여기서는 시켄스 표현의 표준화의 방법을 제안하고 있으며, 조만간에는 타 메이커 간에도 상호 프로그램 변환을 할 수 있도록 가능성을 제시하고 있다.
구미에서 적용이 검토되고 있는 FDT/DTM (Field Device Tool/Device Type Manager)에서는 컨트롤러 메이커의 자사제품용 ActiveX 컨트롤러를 제공함으로서 범용 어플리케이션과 연계한 기능을 실현하는 Tool의 제공이 가능할 것이다.<표 1>

산업용 제어기기 차세대 고속·고신뢰화 기술의 전개
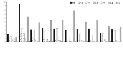
그림1. 신뢰성에 관련 각사의 특허출원상황


산업용 제어기기 차세대 고속·고신뢰화 기술의 전개
표1.컨트롤러의 기술동향(Technologies trends in controllers)


최근, 전송장치의 구성에 있어서 산업용 Ether net device의 급성장이 계속되고 있으며,이와 같은 오픈화는 전송장치의 물리층과 프로토콜의 오픈화를 의미한다. 일본전기공업회(JEMA)에 의한 FL-net(FA Control Network), CIP(Channel Interface Processor) 프로토콜, PROFIBUS의 IEC규격화 등이 그의 대표적인 사례이다. 하드웨어로서는 PXI(PCI(Peripheral Component Interconnection) eXtensions for Instrumen tation) bus의 사용이 그 사례이다. 컨트롤러 전체로서는 ARC Advisory Group에서 제창하고 있는 PAC(Programmable Automation Con troller : 범용통합 컨트롤러)를 고려할 수 있다.
Wireless 네트워크도 상당히 사용되고 있다. 광역대로서는 IEEE802.11(미국전기전자기술자협회 규격 802.11), BluetoothTM(주2), Wireless USB(Universal Serial Bus), 협대역에서는 ZigBeeTM(주3) 등이 있다.
고신뢰화로서는 IEC61580에서 정의한 안전 컨트롤러가 있지만, 연속제어를 하기위한 의미에서의 고신뢰화 컨트롤러로서 Fault Tolerant기능의 On-line 모듈교환 가능, 고품질 및 고신뢰기술을 반영한 하드웨어를 메이커 독자적으로 개발하여 안정동작을 위한 제품이 출시되고 있다.
보안(Security)에 대해서는 NIST(National Institute of Standards and Technology: 미표준기술국)에서 제품 라이프사이클의 각 단계에 따라 설계 기본 방침을 제시하고 있다.
또한 표준화단체인 TCPA(Trusted Computing Platform Alliance)에서 Security Standard 라는 신뢰할 수 있는 컴퓨팅의 개념을 정의하여, 여기에 기반으로 하드웨어 및 소프트웨어 설계와 개발을 추진하고 있다. 이를 기준으로 메이커에서는 보안정책(Security Policy)의 정의와 이들을 적용한 제품설계, 다중보안의 확보, 안전한 소프트웨어의 제공을 실시할 필요가 있다.
실제로 공개 네트워크에 접속될 가능성이 있는 컨트롤러에서는 Reverse Engineering방지에 대하여 기본설계를 하여야 한다. 부품으로 Dump sensor를 부착한 안전 메모리도 출시되고 있다.신뢰성에 대해서는 MTBF(Mean Time Bet ween failure)가 보안대책의 적용여부에 대한 평가의 기준이 되고 있다.
신뢰성 기술을 컨트롤러에 적용하고 있는 상황을 파악하기 위하여 신뢰성의 각 기술항목에 대한일본 메이커 각사의 특허출원건수를 집계하였다 <그림 1>. 신뢰성 향상 대책에 대한 각사가 중시하는 항목이 서로 다른 점을 참고할 수 있다.
(2) 하드웨어의 기술동향
하드웨어 측면에서 볼 때, 고속화에 대해서는 마이크로프로세서와 LSI칩 간의 데이터 전송 속도가 시스템의 성능을 결정한다. 따라서 각사는 마이크로프로세스와 그에 대응한 상호 접속버스를 다양하게 제안하고 있다.
상호 접속버스는 주로 제품내부에 접속되는 고속버스와 제품외부와 접속되는 비교적 저속이면서 내환경성이 뛰어난 버스가 존재한다. 전자의 예로서는, AMD사와 MIPS Technologies사 제품마이크로프로세스용의 Hyper TransportTM와 인텔의 PCI/PCI-X, PCI ExpressTM, IBM과 Motorola의 Power-PC용 Serial RapidIO



0 / 1000
주제와 무관한 악의적인 댓글은 삭제될 수 있습니다.
0 / 1000




제품등록 무료 제품 거래 비용 없음!



산업전시회 일정




다아라 기계장터 제품등록 무료